Seitenanfang
Impressum
Balken ohne Schubbewehrung im Zustand II (gerissener Zustand)
Bei Balken ohne Querkraftbewehrung bildet sich abhängig von der Belastung ein Sprengwerk (bei Einzellasten) oder ein Druckbogen (bei Gleichstreckenlast) aus, während die Biegezugbewehrung als Zugglied dient:
Stabwerksmodell
Ausgehend vom Biegzugrand bilden sich Schubrisse, welche bei Laststeigerung immer weiter in die Druckzone vordringen. Dadurch wird die Querkrafttragfähigkeit der ungerissenen Druckzone stetig reduziert, während die Betonstahlspannung im Bügel wächst. Ab einer kritischen Rissöffnung wird die Zugfestigkeit der Schubbewehrung erreicht, womit diese zunächst zu fließen beginnt, sich einschnürt und bei weiterer Laststeigerung reißt. Aufgrund der Reduzierung der wirksamen Druckzone infolge der Rissbildung kann auch eine Zerstörung des Betongefüges in der Biegedruckzone erfolgen. Es versagen daher entweder die Bügel oder die Betondruckzone. Dieser Versagensmechanismus wird als Biegeschubversagen bezeichnet.
Versagensmechanismus
Balken mit Schubbewehrung im Zustand II (gerissener Zustand)
Das Tragverhalten von Stahbetonbauteilen mit Längs- und Querkraftbewehrung wird in der Regel mit Fachwerkmodellen abgebildet. Die vertikale Bügelbewehrung dient als Zugstrebe, während sich im Beton geneigte Druckstreben einstellen. Die horizontale Längsbewehrung am Biegezugrand dient als Zuggurt und der Beton in der Druckzone als horizontaler Druckgurt, womit das Gleichgewicht der inneren Kräfte gewährleistet ist.
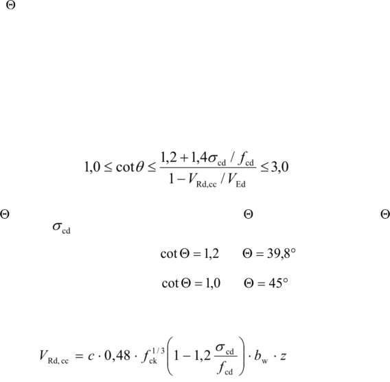
Diese Modellbildung wurde erstmals von Ritter und Mörsch im 19. Jahrhundert entwickelt, wobei zunächst noch eine Druckstrebenneigung von = 45° zugrunde gelegt war. Das Fachwerkmodell wurde seither weiterentwickelt, wobei derzeit insbesondere folgende Modelle von Bedeutung sind: (1) Fachwerkmodell mit variabler Druckstrebenneigung (Plastizitätstheorie) (2) Fachwerkmodell mit zusätzlichem Betontraganteil (3) Fachwerkmodell mit Rissreibung (Hybridlösung aus (1) und (2)) In der Tragwerksnorm DIN EN 1992-1-1 wird das Fachwerkmodell mit Rissreibung angewendet. Dabei wird mit einer veränderlichen Druckstrebenneigung gerechnet, welche abhängig vom Betontraganteil und der Normalkraft begrenzt wird.
Begrenzung der Druckstrebenneigung:
NDP zu 6.2.3 (2) Gleichung NA6.7a
Die Druckstrebenneigung liegt damit für Normalbeton zwischen 18,4° (cot = 3) und maximal 45° (cot =1). Die Normalkraft wird durch die Betonlängsspannung berücksichtigt. Vereinfacht dürfen folgende Druckstrebenneigungen angesetzt werden: - bei reiner Biegung und bei Biegung mit Längsdruckkraft: - bei Biegung mit Längszugkraft:
Der Betontraganteil für Balken mit Querkraftbewehrung wird folgendermaßen berechnet:
NDP zu 6.2.3 (2) Gleichung NA6.7b
Es ist anzumerken ist, dass entgegen der üblichen Konventionen der Statik die Längsdruckkraft bei der Berechnung der Betonspannung positiv eingesetzt wird (Druck > 0). Die Drucknormalkraft wirkt sich günstig auf die Querkrafttragfähigkeit aus. Der Faktor c = 0,5 ist ein Rauigkeitsbeiwert für die Querkraftübertragung in Fugen.
Die Risse am Biegezugrand gliedern den Balken in Abschnitte, wobei im Modell nach Reineck die Rissreibung infolge Verzahnung der Rissufer berücksichtigt wird. Dieser Ansatz wurde in der DIN 1045-1 verwendet und in den Nationalen Anhang (NA) der deutschen DIN EN 1992-1-1 übernommen.
Betontraganteil:
Die aufnehmbare Querkraft wird bei Querschnitten mit Schubbewehrung neben der Tragfähigkeit der Betondruckstrebe (vgl. DIN EN 1992-1-1 Gl. 6.9: V ) von der Tragfähigkeit des Betonstahls begrenzt. Die Herleitung der vom Betonstahl aufnehmbaren Querkraft V wird nachfolgend am Stabwerksmodell für den Fall von lotrecht eingebauten Bügeln (Alpha=90°) erläutert:
Tragfähigkeit der Zugstrebe (Bügel)
Rd,max
Rd,s
Die bereits erfolgten Erläuterungen zum Tragverhalten von Stahlbetonbalken mit erforderlicher Schubbewehrung zeigen, dass die Querkräfte durch die Bügelbewehrung entlang des Bauteils kontinuierlich in die Druckzone aufgehängt werden. Die Bügel und deren Anordnung müssen daher gewisse Ansprüche erfüllen, insbesondere damit sie gegen die einwirkenden Kräfte ausreichend verankert sind. Als Verankerungselemente werden bevorzugt Haken und Winkelhaken verwendet.
Konstruktive Regeln für Querkraftbewehrung
Bügel müssen also in geeigneter Weise geschlossen werden, um den Kraftfluss zu gewährleisten. Die Druckstreben stützen sich auf die steifste Stelle der Bügel und damit auf die Eckbereiche der Bügel ab, wie im nebenstehenden Bild schematisch dargestellt. Jede Bügelecke muss durch ein Längseisen gesichert sein und Maximalwerte der Längs- und Querabstände der Bügelschenkel dürfen nicht überschritten werden. Bei breiten Trägern müssen deshalb Schubzulagen innerhalb des äußeren Bügels eingesetzt werden. Die zulässigen Längs- und Querabstände der Bügelschenkel sind im Nationalen Anhang der deutschen DIN EN 1992-1-1 den Tabellen NA.9.1 und NA.9.2 zu entnehmen und sowohl von der Querkraftausnutzung als auch der Betonfestigkeitsklasse abhängig.
Bei der Verankerung der Bügel ist es wichtig zu unterscheiden, ob der Bügel in der Druck- oder Zugzone des Bauteils geschlossen wird. Bei Anordnung des Bügelschlosses in der Zugzone bestehen höhere Anforderungen an die Übergreifung der Stabenden. Die Übergreifungslänge am Bügelschloss muss in diesem Fall konsequent gewährleistet sein, weil der Bewehrungs- stoß ggfs. durch einen Schubriss gekreuzt werden kann. Weil die Schubrisse am Biegezugrand entstehen und sich von dort aus in Richtung der Druckzone ausbreiten, sollte die Verankerung demnach in der Druckzone erfolgen (EC2-1-1/NA: NCI Zu 9.2.2 (3)). Dies gilt im Allgemeinen als erfüllt, wenn die Querkraftbewehrung über die ganze Querschnittshöhe reicht. In der Zugzone müssen Verankerungselemente möglichst nahe am Zugrand angeordnet werden.
Die Lage der Biegedruck- und Biegezugzonen kann in Anlehnung an Leonhardt & Walther (1965) am Beispiel eines Durchlaufträgers folgendermaßen erläutert werden:
Das Bild verdeutlicht, dass im Feldbereich die Biegezugzone sich am unteren Querschnittsrand befindet, während sie im Stützbereich am oberen Querschnittsrand liegt. Das Bügelschloss wird in der Praxis im Stützbereich in der Regel jedoch nicht am unteren Querschnittsrand angeordnet. Gegebenenfalls werden wie bei der indirekten Auflagerung zusätzliche Bügel als Aufhängebewehrung vorgesehen, welche über eine ausreichende Übergreifungslänge verfügen (DIN EN 1992-1-1 Abs. 9.2.5). Verschiedene Methoden zur Verankerung und zum Schließen von Bügeln sind in DIN EN 1992-1-1/NA NCI zu 8.5, Bild 8.5 dargestellt. Bei indirekten Auflagern ist DIN EN 1992-1-1 Abs. 9.2.5 zu beachten. In der Praxis werden bevorzugt folgende Formen angewendet:
Bei Plattenbalken kann die durchgehende Querbewehrung der Platte zum Schließen der Bügel herangezogen werden, sofern die einwirkende Querkraft nicht größer als 2/3 der maximalen Querkrafttragfähigkeit (VRd,max) ist. Bei gegliederten Fertigteilträgern mit dünnen Stegen dürfen einschnittige Schubzulagen alleine verwendet werden, wenn die Druckzone und die Biegezugbewehrung gesondert durch Bügel umschlossen werden (DIN EN 1992-1-1/NA NCI zu 10.9.8 (3))
Quellen: DIN EN 1992-1-1/NA Bewehren nach DIN EN 1992-1-1 (EC2) ; 7. Auflage ; Autor Klaus Beer ; Hrsg. Springer Verlag Mechanisch konsistentes Schubfeldmodell für Bestandsbrücken ohne bzw. mit geringer Querkraftbewehrung (2011) Hrsg.: Österreichisches Bundesministerium für Verkehr, Innovation und Technologie Verfasser: Dipl.-Ing. Patrick Huber & Dr.Ing. Johann Kolleger (TU Wien) & Dr.Ing. Viet Tue Nguyen & Dr.Ing. Duc Tung Nguyen (TU Graz) Zum Tragverhalten von gering querkraftbewehrten Stahlbetonbalken Dissertation von Dipl.-Ing. Christina Fust (2017) ; Ruhr Universität Bochum (RUB) Zur Querkrafttragfähigkeit von Spannbetonbalkenelementen unter besonderer Berücksichtigung der Bügelform Dissertation von Nicholas Oliver Schramm (2021) ; Technische Universität München (TUM) Ermüdung der Querkraftbewehrung in Spannbetonträgern ; Dissertation von Matthias Hillebrand (2023) ; TH Aachen
Ein informativer Beitrag aus der Rubrik „Statik & Baukonstruktion“ von Dipl.-Ing. (FH) Sebastian Maurer ; verfasst am 06.10.2025
Querkräfte wirken senkrecht zur Längsachse eines balkenartigen Bauteiles und erzeugen Schubspannungen, die dazu führen, dass Materialschichten sich gegeneinander verschieben. Diese Wirkung wird als Scherbeanspruchung bezeichnet und kann zum Bauteilversagen durch Abscheren dieser Materialschichten führen. Aus diesem Grund werden zur Aufnahme der Querkräfte in Stahlbetonbalken Bügel vorgesehen, welche die Querkrafttragfähigkeit durch Überbrückung von Schubrissen erhöhen. Die Querkraftbewehrung ist neben der längs verlegten Biegezugbewehrung daher ein essentieller Bestandteil von auf Biegung beanspruchten Bauteilen aus Stahlbeton. Beim Schließen und Einbau der Bügel sind somit gewisse Anforderungen zu beachten. Insbesondere weshalb die Bügel vorzugsweise in der Biegedruckzone des Balkens zu schließen sind, wird nachfolgend erläutert.
Querkraftbewehrung von Stahlbetonbalken Schließen der Bügel
Seitenanfang
Impressum
Balken ohne Schubbewehrung im Zustand II (gerissener Zustand)
Bei Balken ohne Querkraftbewehrung bildet sich abhängig von der Belastung ein Sprengwerk (bei Einzellasten) oder ein Druckbogen (bei Gleichstreckenlast) aus, während die Biegezugbewehrung als Zugglied dient:
Stabwerksmodell
Ausgehend vom Biegzugrand bilden sich Schubrisse, welche bei Laststeigerung immer weiter in die Druckzone vordringen. Dadurch wird die Querkrafttragfähigkeit der ungerissenen Druckzone stetig reduziert, während die Betonstahlspannung im Bügel wächst. Ab einer kritischen Rissöffnung wird die Zugfestigkeit der Schubbewehrung erreicht, womit diese zunächst zu fließen beginnt, sich einschnürt und bei weiterer Laststeigerung reißt. Aufgrund der Reduzierung der wirksamen Druckzone infolge der Rissbildung kann auch eine Zerstörung des Betongefüges in der Biegedruckzone erfolgen. Es versagen daher entweder die Bügel oder die Betondruckzone. Dieser Versagensmechanismus wird als Biegeschubversagen bezeichnet.
Versagensmechanismus
Balken mit Schubbewehrung im Zustand II (gerissener Zustand)
Das Tragverhalten von Stahbetonbauteilen mit Längs- und Querkraftbewehrung wird in der Regel mit Fachwerkmodellen abgebildet. Die vertikale Bügelbewehrung dient als Zugstrebe, während sich im Beton geneigte Druckstreben einstellen. Die horizontale Längsbewehrung am Biegezugrand dient als Zuggurt und der Beton in der Druckzone als horizontaler Druckgurt, womit das Gleichgewicht der inneren Kräfte gewährleistet ist.
Diese Modellbildung wurde erstmals von Ritter und Mörsch im 19. Jahrhundert entwickelt, wobei zunächst noch eine Druckstrebenneigung von = 45° zugrunde gelegt war. Das Fachwerkmodell wurde seither weiterentwickelt, wobei derzeit insbesondere folgende Modelle von Bedeutung sind: (1) Fachwerkmodell mit variabler Druckstrebenneigung (Plastizitätstheorie) (2) Fachwerkmodell mit zusätzlichem Betontraganteil (3) Fachwerkmodell mit Rissreibung (Hybridlösung aus (1) und (2)) In der Tragwerksnorm DIN EN 1992-1-1 wird das Fachwerkmodell mit Rissreibung angewendet. Dabei wird mit einer veränderlichen Druckstrebenneigung gerechnet, welche abhängig vom Betontraganteil und der Normalkraft begrenzt wird.
Begrenzung der Druckstrebenneigung:
NDP zu 6.2.3 (2) Gleichung NA6.7a
Die Druckstrebenneigung liegt damit für Normalbeton zwischen 18,4° (cot = 3) und max. 45° (cot =1). Die Normalkraft wird durch die Betonlängsspannung berücksichtigt. Vereinfacht dürfen folgende Druckstrebenneigungen angesetzt werden: - bei reiner Biegung und bei Biegung mit Längsdruckkraft: - bei Biegung mit Längszugkraft:
Der Betontraganteil für Balken mit Querkraftbewehrung wird folgendermaßen berechnet:
NDP zu 6.2.3 (2) Gleichung NA6.7b
Es ist anzumerken ist, dass entgegen der üblichen Konventionen der Statik die Längsdruckkraft bei der Berechnung der Betonspannung positiv eingesetzt wird (Druck > 0). Die Drucknormalkraft wirkt sich günstig auf die Querkrafttragfähigkeit aus. Der Faktor c = 0,5 ist ein Rauigkeitsbeiwert für die Querkraftübertragung in Fugen.
Die Risse am Biegezugrand gliedern den Balken in Abschnitte, wobei im Modell nach Reineck die Rissreibung infolge Verzahnung der Rissufer berücksichtigt wird. Dieser Ansatz wurde in DIN 1045-1 verwendet und in den Nationalen Anhang (NA) der deutschen DIN EN 1992-1-1 übernommen.
Betontraganteil:
Die aufnehmbare Querkraft wird bei Querschnitten mit Schubbewehrung neben der Tragfähigkeit der Betondruckstrebe (vgl. DIN EN 1992-1-1 Gl. 6.9: V ) von der Tragfähigkeit des Betonstahls be- grenzt. Die Herleitung der vom Betonstahl aufnehmbaren Querkraft V wird nachfolgend am Stabwerksmodell für den Fall von lotrecht eingebauten Bügeln (Alpha=90°) erläutert:
Tragfähigkeit der Zugstrebe (Bügel)
Rd,max
Rd,s
Die bereits erfolgten Erläuterungen zum Tragverhalten von Stahlbetonbalken mit erforderlicher Schubbewehrung zeigen, dass die Querkräfte durch die Bügelbewehrung entlang des Bauteils kontinuierlich in die Druckzone aufgehängt werden. Die Bügel und deren Anordnung müssen daher gewisse Ansprüche erfüllen, insbesondere damit sie gegen die einwirkenden Kräfte ausreichend verankert sind. Als Verankerungs- elemente werden bevorzugt Haken und Winkelhaken verwendet.
Konstruktive Regeln für Querkraftbewehrung
Bügel müssen also in geeigneter Weise geschlossen werden, um den Kraftfluss zu gewährleisten. Die Druckstreben stützen sich auf die steifste Stelle der Bügel und damit auf die Eckbereiche der Bügel ab, wie im nebenstehenden Bild schematisch dargestellt. Jede Bügelecke muss durch ein Längseisen gesichert sein und Maximalwerte der Längs- und Querabstände der Bügelschenkel dürfen nicht überschritten werden. Bei breiten Trägern müssen deshalb Schubzulagen innerhalb des äußeren Bügels eingesetzt werden. Die zulässigen Längs- und Querabstände der Bügelschenkel sind im Nationalen Anhang der deutschen DIN EN 1992-1-1 den Tabellen NA.9.1 und NA.9.2 zu entnehmen und sowohl von der Querkraftausnutzung als auch der Betonfestigkeitsklasse abhängig.
Bei der Verankerung der Bügel ist es wichtig zu unterscheiden, ob der Bügel in der Druck- oder Zugzone des Bauteils geschlossen wird. Bei Anordnung des Bügelschlosses in der Zugzone bestehen höhere Anforderungen an die Übergreifung der Stabenden. Die Übergreifungs- länge am Bügelschloss muss in diesem Fall konsequent gewährleistet sein, weil der Bewehrungsstoß ggfs. durch einen Schubriss gekreuzt werden kann. Weil die Schubrisse am Biegezugrand entstehen und sich von dort aus in Richtung der Druckzone ausbreiten, sollte die Verankerung demnach in der Druckzone erfolgen (EC2-1-1/NA: NCI Zu 9.2.2 (3)). Dies gilt im Allgemeinen als erfüllt, wenn die Querkraftbewehrung über die ganze Querschnittshöhe reicht. In der Zugzone müssen Verankerungselemente möglichst nahe am Zugrand angeordnet werden.
Die Lage der Biegedruck- und Biegezugzonen kann in Anlehnung an Leonhardt & Walther (1965) am Beispiel eines Durchlaufträgers folgendermaßen erläutert werden:
Das Bild verdeutlicht, dass im Feldbereich die Biegezugzone sich am unteren Querschnittsrand befindet, während sie im Stützbereich am oberen Querschnittsrand liegt. Das Bügelschloss wird in der Praxis im Stützbereich in der Regel jedoch nicht am unteren Querschnittsrand angeordnet. Gegebenenfalls werden wie bei der indirekten Auflagerung zusätzliche Bügel als Aufhängebewehrung vorgesehen, welche über eine ausreichende Übergreifungslänge verfügen (DIN EN 1992-1-1 Abs. 9.2.5). Verschiedene Methoden zur Verankerung und zum Schließen von Bügeln sind in DIN EN 1992-1- 1/NA NCI zu 8.5, Bild 8.5 dargestellt. Bei indirekten Auflagern ist DIN EN 1992-1-1 Abs. 9.2.5 zu beachten. In der Praxis werden bevorzugt folgende Formen angewendet:
Bei Plattenbalken kann die durchgehende Querbewehrung der Platte zum Schließen der Bügel herangezogen werden, sofern die einwirkende Querkraft nicht größer als 2/3 der maximalen Querkrafttragfähigkeit (VRd,max) ist. Bei gegliederten Fertigteilträgern mit dünnen Stegen dürfen einschnittige Schubzulagen alleine verwendet werden, wenn die Druckzone und die Biegezugbewehrung gesondert durch Bügel umschlossen werden (DIN EN 1992-1-1/NA NCI zu 10.9.8 (3))
Quellen: DIN EN 1992-1-1/NA Bewehren nach DIN EN 1992-1-1 (EC2) ; 7. Auflage ; Autor Klaus Beer ; Hrsg. Springer Verlag Mechanisch konsistentes Schubfeldmodell für Bestandsbrücken ohne bzw. mit geringer Querkraftbewehrung (2011) Hrsg.: Österreichisches Bundesministerium für Verkehr, Innovation und Technologie Verfasser: Dipl.-Ing. Patrick Huber & Dr.Ing. Johann Kolleger (TU Wien) & Dr.Ing. Viet Tue Nguyen & Dr.Ing. Duc Tung Nguyen (TU Graz) Zum Tragverhalten von gering querkraftbewehrten Stahlbetonbalken Dissertation von Dipl.-Ing. Christina Fust (2017) ; Ruhr Universität Bochum (RUB) Zur Querkrafttragfähigkeit von Spannbetonbalkenelementen unter besonderer Berücksichtigung der Bügelform Dissertation von Nicholas Oliver Schramm (2021) ; Technische Universität München (TUM) Ermüdung der Querkraftbewehrung in Spannbetonträgern ; Dissertation von Matthias Hillebrand (2023) ; TH Aachen
Ein informativer Beitrag aus der Rubrik „Statik & Baukonstruktion“ von Dipl.-Ing. (FH) Sebastian Maurer ; verfasst am 06.10.2025
Querkräfte wirken senkrecht zur Längsachse eines balkenartigen Bauteiles und erzeugen Schubspannungen, die dazu führen, dass Materialschichten sich gegeneinander verschieben. Diese Wirkung wird als Scherbeanspruchung bezeichnet und kann zum Bauteilversagen durch Abscheren dieser Materialschichten führen. Aus diesem Grund werden zur Aufnahme der Querkräfte in Stahlbetonbalken Bügel vorgesehen, welche die Querkrafttragfähigkeit durch Überbrückung von Schubrissen erhöhen. Die Querkraftbewehrung ist neben der längs verlegten Biegezugbewehrung daher ein essentieller Bestandteil von auf Biegung beanspruchten Bauteilen aus Stahlbeton. Beim Schließen und Einbau der Bügel sind somit gewisse Anforderungen zu beachten. Insbesondere weshalb die Bügel vorzugsweise in der Biegedruckzone des Balkens zu schließen sind, wird nachfolgend erläutert.
Querkraftbewehrung von Stahlbetonbalken Schließen der Bügel